2 October 2025
NOTICE OF CONCLUSION OF AUDIT 2024-25

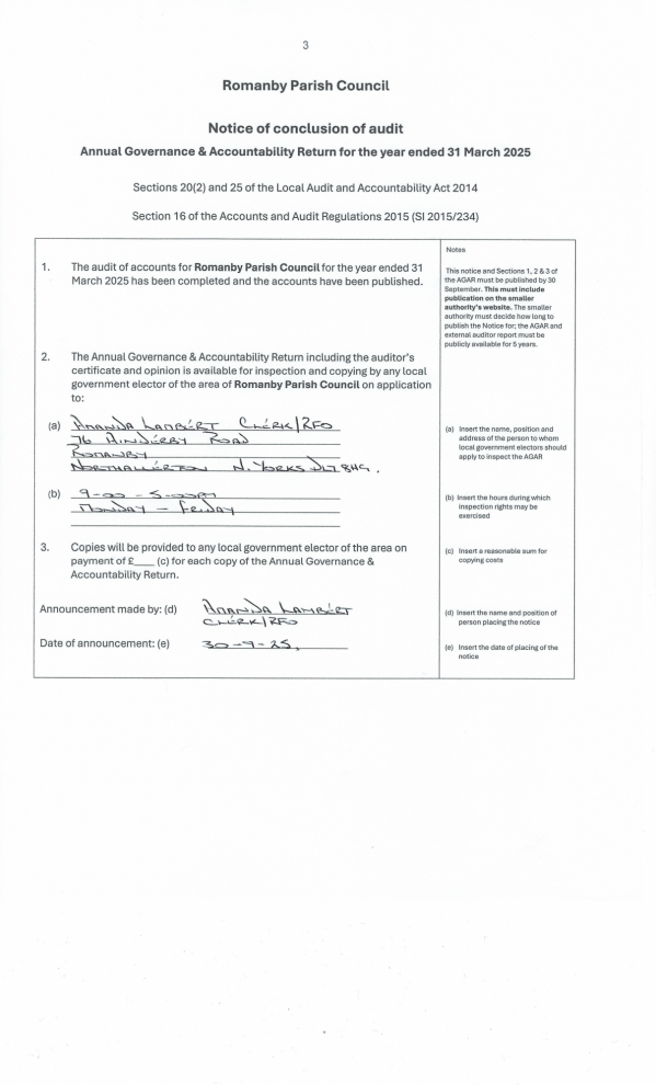
Conclusion of Audit HERE
AGAR 2024-25 HERE
Back to news storiesNext parish meeting:
9 December 2025, 7:00pm Romanby Parish Office
DL7 8HG
9 December 2025, 7:00pm Romanby Parish Office
DL7 8HG
2 October 2025

Conclusion of Audit HERE
AGAR 2024-25 HERE
Back to news stories9 December 2025, 7:00pm Romanby Parish Office
DL7 8HG